微积分趣题
First Post:
Last Update:
Word Count:
Read Time:
Page View: loading...
Last Update:
Word Count:
140
Read Time:
1 min
Page View: loading...

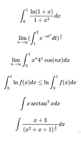
T1
这本书上的例题6.4.3. 但还是不理解这个换元是怎么想到的.
令
再令
注意到
所以
T2
定义函数的范数
接下来论证
记
所以
此外,
显然有
所以
综上,
直接运用该定理可得
T3
注意到
所以
令
T4
由 Riemann 积分之定义知
所以有
T5
记
显然有
所以
T6
有
注意到
令
令
综上有